Passer aux informations produits
1 de 5

Unknown

Java. Полное руководство. 12-ème jour

Java. Полное руководство. 12-ème jour

Prix habituel €145,35 EUR
Prix habituel Prix soldé €145,35 EUR
Vente Épuisé
Taxes incluses. Frais d'expédition calculés à l'étape de paiement.

Java. Полное руководство. 12-ème jour

Dans le cadre de la mise à jour de votre version Java SE 17, vous pouvez télécharger, compiler, télécharger et installer un programme. à Java. L'auteur de nombreux best-sellers dans le domaine du programme Gerbert Sildt a utilisé Java, y compris sa syntaxe, son mot clé je programme fondamental de principe. Vous avez donc besoin d'informations sur les bibliothèques Java API, telles que Collections Framework, les bibliothèques et les outils parallèles. Il existe des thèmes Swing, JavaBeans et serveurs, et de nombreux exemples démontrent Java dans vos projets. Bien sûr, il est possible que vous ayez besoin d'ajouter des classes à votre Java, pour cela, vous devez sélectionner les classes et utiliser le commutateur. Un livre de style japonais et chinois qui propose des livres de Sildta qui ont gagné des millions de dollars dans notre bourbier.
Издательство Dialectique
Auteur/auteur Шилдт Герберт
Oui 1854
Дата выпуска 2022
Кол-во страниц 1344
ISBN 978-5-907458-86-4
Format 17 x 25 cm
Catégorie de la catégorie 16+
Oblozka Premier

Expédition et retours

AZONMARKET.EU fournit des livres à tout le monde!

В рамках стран ЕС + ВЕЛИКОБРИТАНИЯ (условия доставки описаны ниже ) + ИЗРАИЛЬ (условия доставки описаны ) ниже) + ШВЕЙЦАРИЯ + США / Канада (условия доставки описаны ниже) + НОРВЕГИЯ заказы оформляются самостоятельно онлайн.

Si vos affaires ne sont pas en vente, veuillez contacter votre nom : info@azon.market

Il est possible de créer des projets supplémentaires pour mettre en place des programmes et contacter des clients de l'Europe. Informations sur les déclarations, les détails et les coordonnées du pays, qui ne sont pas disponibles en Europe , il est recommandé de les utiliser en tant que tel департаменте страны доставки.

СРОКИ ДОСТАВКИ :

Au cours de la période d'expédition, les délais de livraison seront d'une durée de 20 jours avec l'acceptation de la commande (abonnement et disponibilité). выходные) . Il est possible que vous ayez un peu plus de temps pour vous rendre au moment de l'expédition (22-35 jours) .

Il est également important de s'assurer que les informations demandées au système soient disponibles lors de la livraison. Les délais de livraison peuvent être pris en compte dans la journée, à l'heure actuelle, de la situation dans le contexte actuel, et также по др. причинам.

À l'heure actuelle, le commerçant a choisi de se rendre au statut de la FOSA dans la fonction publique. Si vous êtes propriétaire d'un client, le statut du système est fourni par Local Courier et vous pouvez accepter le code de livraison.

СТОИМОСТЬ ДОСТАВКИ

  • 50% de réduction sur la livraison dans le club de la région européenne, pour une commande de 54,99 EUR ! (исключение Великобритания, Швейцария, Кипр, Греция, Израиль, Мальта )
  • 50% de réduction sur l'expédition en vélo, Suisse, Chypre, Grèce, Malte, Israël pour un prix de 65,00 EUR !

 Pour les clients du monde entier, la société européenne (comme Chypre, Grèce, Malte) )

Livraison express au Royaume-Uni à partir de la zone ЕС (UE) pour les commandes suivantes EUR 65,00

Pour les clients des Pays-Bas (Latvia, Lituanie, Estonie)

  • Livraison gratuite dans les colis Omniva pour les commandes quotidiennes EUR 40,00
  • Бесплатная Курьерская Доставка для заказов свыше EUR 65,00

Pour les clients de Rigi (Латвия )

  • Livraison gratuite pour votre voyage d'été chez AZON.MARKET à Rige
  • Livraison gratuite dans les colis Omniva pour les commandes quotidiennes EUR 40,00
  • Бесплатная Курьерская Доставка для заказов свыше EUR 65,00

Il vous faudra alors vous informer sur votre commande et sur le système pour vous fournir des variantes de livraison dans votre espace !

ВАЖНО! Lors de la première demande de commande et après la confirmation de la demande, vous pouvez vérifier immédiatement votre demande. informations de contact.

Il n'est jamais possible d'accéder à l'adresse de livraison ou au numéro de téléphone du téléphone pour déterminer les délais de livraison et de livraison. дополнителным расходам.


ВЕЛИКОБРИТАНИЯ – УСЛОВИЯ ЗАКАЗА И ДОСТАВКИ

(кроме Северной ИрLANDии *)


En Suisse avec votre voyage en voiture, l'Union européenne s'est rendue le 01.01.2021 dans le cadre de votre commande d'hôtel. Livraisons :

  • Votre commande ne peut pas dépasser 150 EUR ( 135 GBP ) + une somme d'argent (en cas de réservation de cet hôtel budget (vous pouvez utiliser des produits à l'avance sans avoir à payer des frais supplémentaires pour votre propre magasin). Si le client tarde à commander pour un maximum d'été, il devra alors répondre à la demande du client.

Informations sur les déclarations, les détails et les coordonnées du pays, qui ne sont pas disponibles en Europe , il est recommandé de les utiliser en tant que tel департаменте страны доставки. Si vous avez des informations sur votre compte client, vous pouvez envoyer des commandes sans avoir à payer de supplément. plat. 100% garantie дать не можем , т.к. Les vacances et les voyages dans la rue peuvent être à l'heure du mariage.

  • Lorsque vous commandez un certain nombre de livres, vous pouvez appuyer sur . Il y a des choses à faire, comme le livre, vous allez devoir commander et vous aurez de la peine. Vous devrez peut-être ouvrir la session et contacter le client.

  • Les livraisons gratuites dans les conditions de livraison ne sont pas acceptées ! Obtenez 50% de réduction sur la livraison pour une commande de 65,00 EUR !

  • En ce qui concerne le grain, dans les limites des droits d'auteur (conception standard de l'utilisateur), vous devez ajouter une copie Plaque de réparation pour le logement (formation et fourniture) au prix de 11.50EUR + 0% TVA

  • En ce qui concerne le processus de livraison, les livraisons en anglais peuvent être effectuées. C'est probablement un garçon qui s'occupe de la commande.

* Plusieurs Irlande sont situées sur le territoire national de la société européenne. L'expédition est prévue selon le régime prévu, sans déclaration préalable.


ИЗРАИЛЬ – УСЛОВИЯ ЗАКАЗА И ДОСТАВКИ


ВНИМАНИЕ!!! Pour plus d'informations, les frais d'expédition en Israël ne dépassent pas 65 EUR (pour 75 $) + le montant des frais d'expédition ne sont pas facturés. Si vous commandez 65 EUR, vous devrez également prendre en charge l'organisation et la deuxième place du client. Pour plus d'informations sur les clients : pour obtenir des informations sur vos clients (et ce sera le cas), le prix d'Israël coûtera 10 $. Vous avez également des informations sur la demande de renseignements.

Informations sur les déclarations, les détails et les coordonnées du pays, qui ne sont pas disponibles en Europe , il est recommandé de les utiliser en tant que tel департаменте страны доставки. Une fois les informations fournies par l'expéditeur, vous pouvez envoyer des commandes sans avoir à payer de supplément. 100% garantie дать не можем , т.к. Les vacances et les voyages dans la rue peuvent être à l'heure du mariage.

  • En ce qui concerne les organisations, la livraison en Israël peut prendre des délais très longs, ce qui est nécessaire. Bien sûr, il n'y a aucun moyen de le faire.

  • Assurez-vous que le système de commande automatique soit fourni avec des informations sur la commande (après avoir effectué la commande dans корзину) et зависит от суммарного веса товаров с упаковкой + места назначения (adres, который вы указываете).

  • Les livraisons gratuites en Israël ne sont pas prévues ! Obtenez 50% de réduction sur la livraison pour une commande de 65,00 EUR !

  • Les frais de livraison pour les commandes de votre client ne coûtent pas 65 EUR net. Si vous avez besoin d'une commande d'un montant de 65 EUR, vous devrez payer pour un entretien en 5 jours. Vous pouvez contacter le client.

  • En ce qui concerne les clients dans les contrats d'usine ou les offres de location de stade, le client comprend Les frais de transport du fournisseur sont destinés à l'expédition (y compris le transporteur). Vous devez effectuer une commande pour les heures de travail.


США – УСЛОВИЯ ЗАКАЗА И ДОСТАВКИ

  • Votre commande peut coûter jusqu'à 800 EUR (Pour obtenir cet emploi, vous pouvez acquérir des produits sans avoir à ajouter de documents supplémentaires à votre processus et à votre stockage. ) .

  • La livraison est assurée par la société FedEx. Assurez-vous que le système de commande automatique vous permet de commander des informations et de consulter le résumé. веса товаров с упаковкой + места назначения ( адрес , который вы указываете )

  • L'action demandée – 50% de réduction sur la livraison pour une commande de 65,00 EUR . Le levier de vitesse est automatique, car il suffit de régler les scènes d'action.

  • À l'heure actuelle, le commerçant a choisi de se rendre au statut de la FOSA dans la fonction publique. Si vous êtes propriétaire d'un client, le statut du système est fourni par Local Courier et vous pouvez accepter le code de livraison.

  • Généralement, vous ne pouvez pas commander au maximum 30 kg. Cela dépend des livraisons et des commandes effectuées. Si vous voulez éviter cela, vous pourriez vous rapprocher de votre propre système (pour commencer votre système).

  • VNIMANIE! Informations sur les déclarations, les détails et les coordonnées du pays, qui ne sont pas disponibles en Europe , il est recommandé de les utiliser en tant que tel департаменте страны доставки. Une fois les informations fournies par l'expéditeur, vous pouvez envoyer des commandes sans avoir à payer de supplément. 100% garantie дать не можем , т.к. Les vacances et les voyages dans la rue peuvent être à l'heure du mariage.


 ДОСТУПНЫЕ МЕТОДЫ ДОСТАВКИ И РАСЦЕНКИ :


ВНИМАНИЕ!!! Vous pouvez choisir de nous contacter si vous ne commandez pas votre produit, votre configuration et votre configuration habituelle : предметы интерьера, товары для сада и огорода (теплицы, различные ограждения ) et т.п. Pour cette raison, les livraisons ne sont pas autorisées. Les livraisons doivent être effectuées individuellement dans le cadre des transactions commerciales. Vous êtes l'administrateur de la configuration de la configuration.

1. Livraison gratuite . Способ доставки на указанный до двери получателя.

Achetez des produits auprès du fournisseur sur la page AZON.MARKET auprès de vos clients. Obtenez un système automatique avec des informations sur chaque produit. заказа, и зависит от суммарного веса товаров с упаковкой + места назначения ( адрес , который вы указываете ) . Si vous souhaitez installer des scènes d'action spécifiques, vous devrez installer le système de manière appropriée pour votre étape suivante. оформления.

Le maximum de poids pour une commande quotidienne est de 31 kg.

Dans la rubrique « Mes commandes », le cabinet de location du site AZON.MARKET peut vous indiquer le statut de la commande. Le statut « LOCAL COURIER » s'ouvre, ce qui précède la commande d'AZON.MARKET dans le cadre de la livraison et vous offre la possibilité de le faire ! На указанную Вами э-почту придет системное оповещение с кодом отслеживания (numéro de suivi).

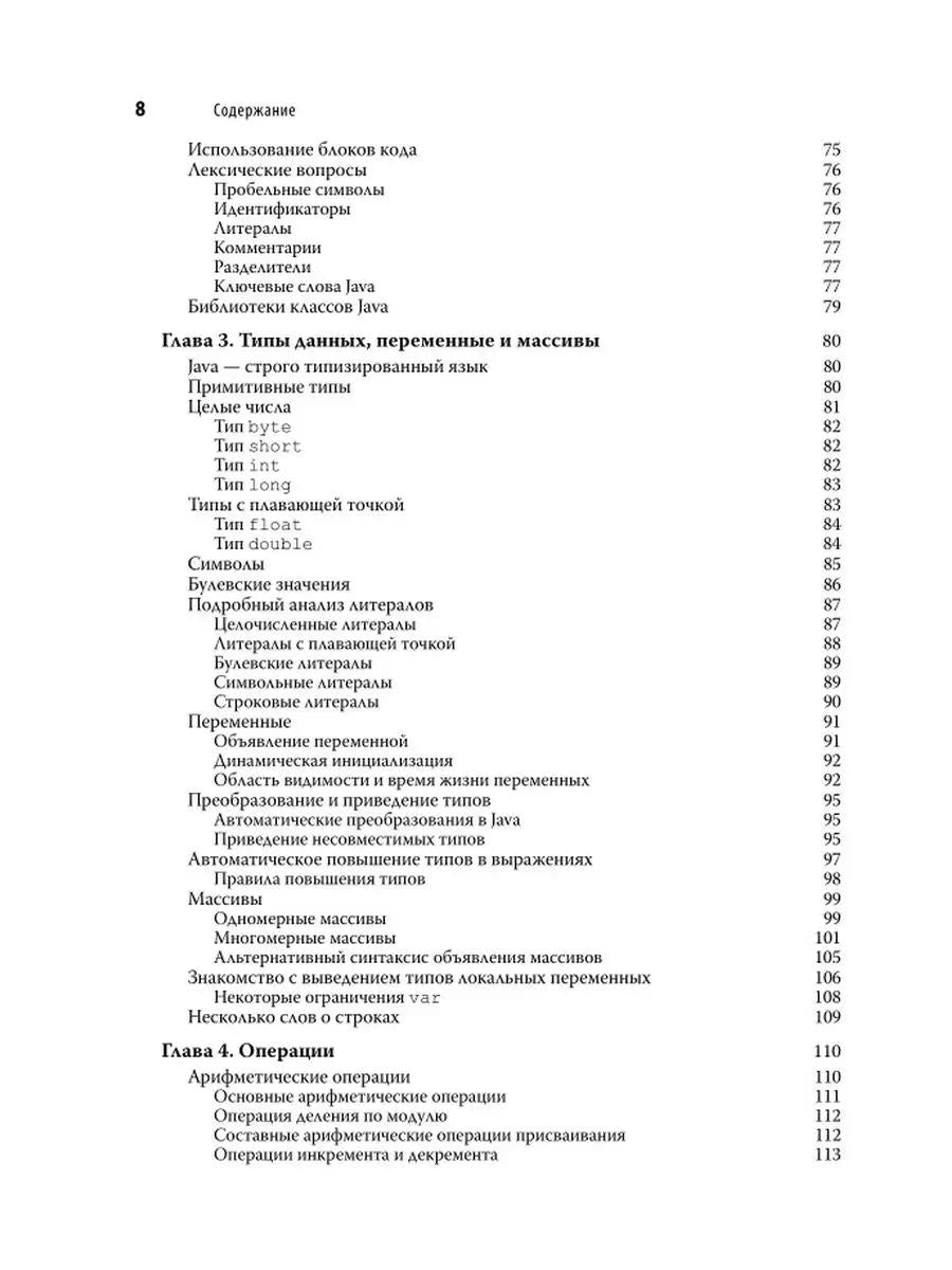
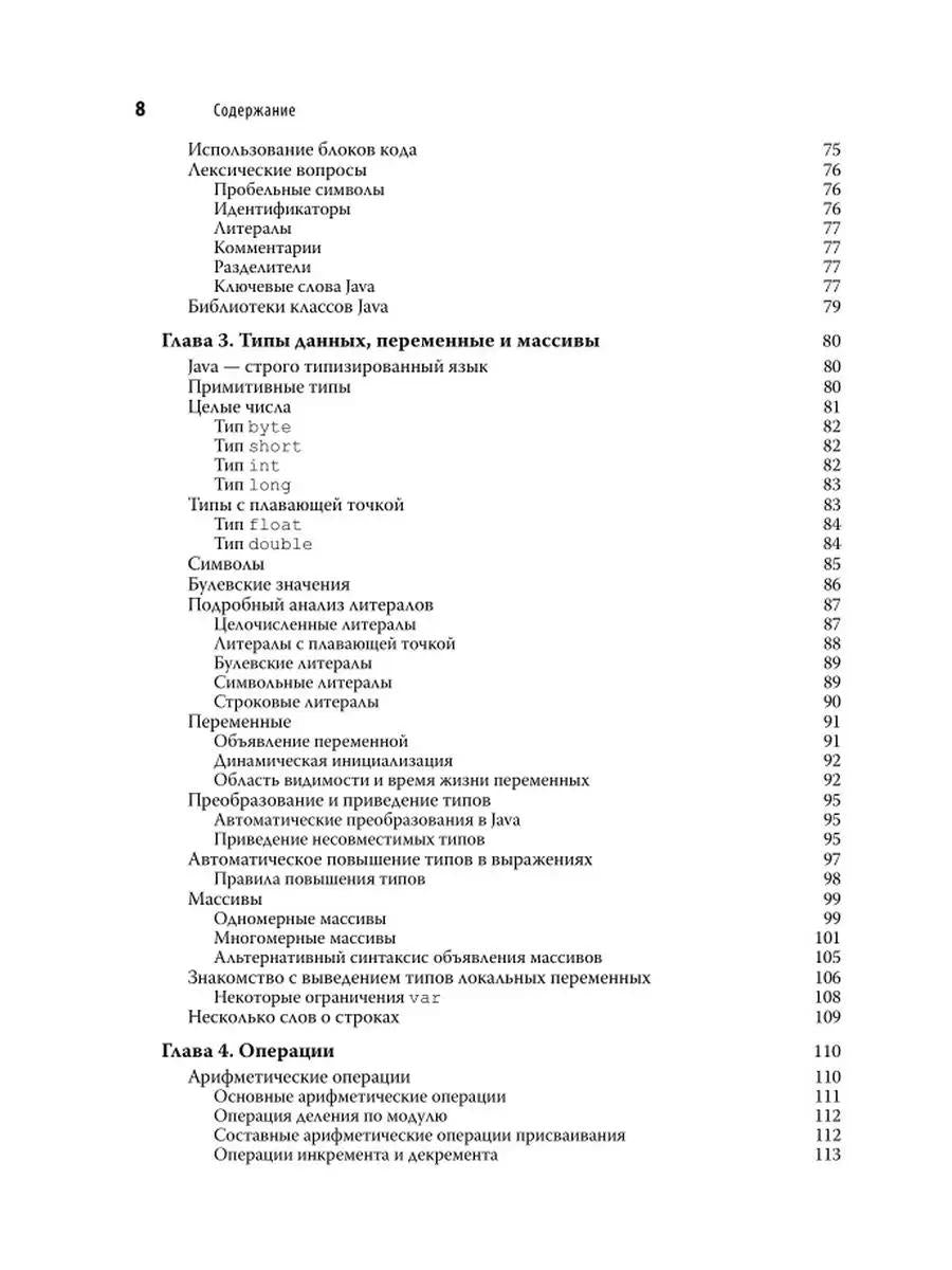
2. Livraison dans les magasins Omniva et dans les terminaux PastaStacija à l'étranger Lettonie, Lituanie, Estonie

  • Vous pouvez acheter des marchandises auprès d'AZON.MARKET au terminal PastaStacija ou au magasin Omniva - 2,99 EUR pour toute commande.

  • Le plus grand nombre de personnes possible – 30 kg.

  • Taille maximale du tailleur : 38 cm x 64 cm x 39 cm. Si vous avez un routeur indépendant, vous aurez alors la possibilité de télécharger votre ordinateur. Les livraisons sont effectuées individuellement dans le cadre des transactions commerciales.

  • Lorsque vous effectuez des livraisons dans des magasins et des terminaux, vous pouvez éventuellement ouvrir le numéro de contact du téléphone.

  • Le délai de livraison est de 7 jours. По истечению данного срока посылку возвращают нам назад. Повторная отправка за счет clienta.

3. Découvrez AZON.MARKET à Rige

Основные преимущества самовывоза – возможность выбрать наиболее близкий Пункт выдачи, удобное время получения заказа, возможность vérifiez-le dans le magasin après la commande. Vous pouvez envoyer vos SMS et envoyer une commande ultérieure dans le message correspondant. La période de commande est de 5 jours après la fin de la commande. Le poids maximum pour une commande quotidienne est de 19 kg. En même temps, vous pouvez demander à plusieurs personnes de s'en occuper, à ce moment-là.

Адреса и режим работы Пунктов выдачи заказов в Латвии, г. Рига - магазины CARTE POSTALE :

 Les points suivants sont indiqués :


Ponedelnik

Вторник

Среда

Chetverg

Пятница

Subbota

Воскресение

TC MOLS

10-21

10-21

10-21

10-21

10-21

10-21

10-21

TC DAMME

10-20

10-20

10-20

10-20

10-20

10-20

10-20

TC DOLE

9-20

9-20

9-20

9-20

9-20

9-20

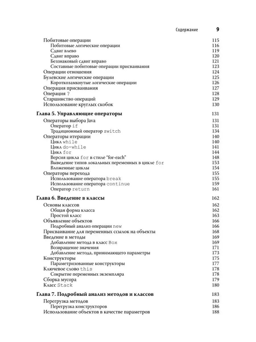
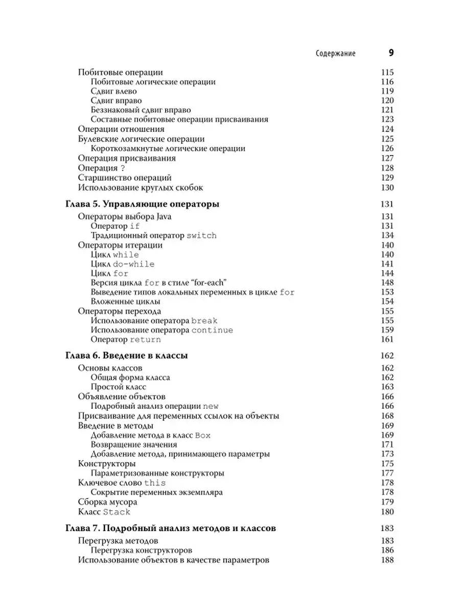
9-20

ТЦ Origo (porte centrale)

08-21

08-21

08-21

08-21

08-21

10-21

10-21

  • магазин POSTCARD (T/C ORIGO) -Adresse: Stacijas laukums 2, центральный зал - Тел. (+371) 67073187
  • магазин POSTCARD (T/C DOLE)- Adresse: Maskavas iela 357 - Тел. (+371) 23309708

  • магазин POSTCARD (T/C DAMME) – Adresse: Kurzemes prospekts 1 - Тел. (+371) 27660419

  • магазин POSTCARD (T/C MOLS) – Adresse: Krasta iela 46 - Тел. (+371) 23309705

La livraison des commandes est effectuée auprès d'AZON.MARKET par le point de commander à Rige, sans aucun avis ni sur la livraison de tous les produits à commander dans prédélax 19 kg

Je vais vous aider et je vous conseille de l'acheter !

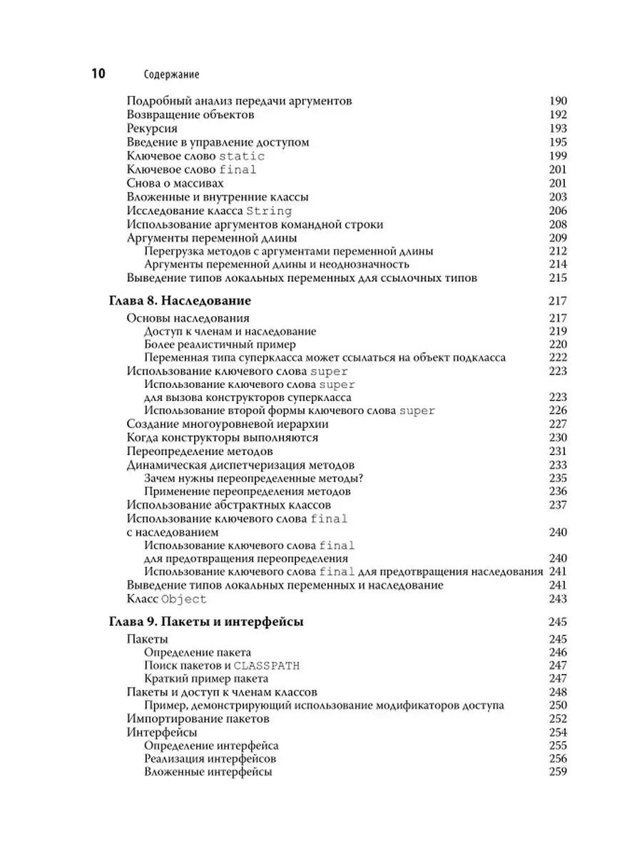
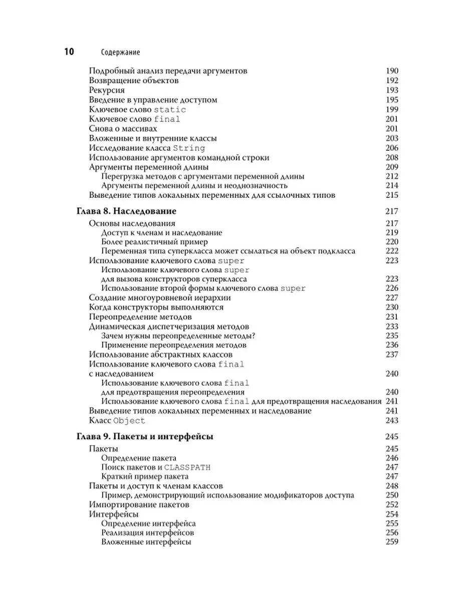
Afficher tous les détails